尋夢新聞LINE@每日推播熱門推薦文章,趣聞不漏接❤️
飲酒是否能夠保護心血管一直以來都是學者爭論的話題,盡管大量研究關注於此,但結論仍舊無法統一。值此佳節來臨之際,我們來盤點一下飲酒與心血管健康的關係。
作者:劉嚴
單位:清華大學玉泉醫院
本文為作者授權醫脈通發布,未經授權請勿轉載。
喝多少酒算是「多」?
雖然對於飲酒是否有益健康,學者們爭論不休。但有一點是可以肯定的,那就是如果將飲酒分為輕、中、重度,重度飲酒一定有害健康,會增加心血管疾病的發病率和死亡率。那麼,多大的飲酒量算是重度飲酒呢?
圖1 什麼是重度飲酒?
美國採用標準杯(standard drink)來衡量飲酒量,標準杯是指含有大致相當量乙醇的任何飲料。一標準杯等於:12盎司啤酒(abv酒精度5% ),5盎司葡萄酒(abv酒精度12% )或1.5盎司烈酒(abv酒精度40%),大約含有10 g酒精(12.7 ml)。許多研究也採用標準杯作為飲酒量的度量單位,很多酒瓶上甚至印有所含標準杯的數量。
圖2 酒瓶上的標準杯標識
過度飲酒(Binge drinking)被定義為男性在2~3小時內飲酒5杯或更多,女性飲酒4杯或以上。而對於孕婦和<21歲的青少年來說,任何酒精攝入都是「過度」的。
飲酒如何危害健康?
酒精是美國最常見的濫用物質之一,因此對於酒精濫用的研究也很多。酒精對身體器官的影響,除肝臟損害外,其他損害主要包括中樞神經系統、心血管系統、腎臟、肺、胃腸道、胰腺和免疫系統。長期飲酒會導致幾乎所有組織,特別是心臟組織的細胞損傷,濫用酒精者已被證明有極高的心血管疾病發病率。一般而言,酒精相關器官損傷的機制與氧化應激的增加、甲基化損害、蛋白質的異常翻譯後修飾、脂質代謝失調和信號轉導途徑異常有關,所有這些都會最終影響細胞的存活和功能。
表1 酒精引起心臟損害的潛在機制
酒精通過多種方式影響心血管系統,與酗酒相關的心血管疾病包括心肌病、心律失常、高血壓、動脈粥樣硬化和心臟衰竭等。長期過度飲酒可以抑制心肌細胞,降低心臟收縮力和射血分數,導致心肌病和心力衰竭。許多與酒精濫用有關的心血管疾病,最終都可能發展為心力衰竭。最近的證據表明,心肌細胞凋亡似乎在其中起主要作用。
表2 飲酒導致心血管疾病的潛在機制
之前的一些研究報導,飲酒量與總心血管(CV)死亡率之間的關係可用J形或U形曲線來描述(圖3)。還有一些前瞻性研究顯示,與戒酒者相比,輕度至中度飲酒者的心血管疾病風險較低,而重度飲酒者的風險最高者。還有研究報導,通過冠狀動脈造影和CT檢測冠狀動脈及超聲評估頸動脈,發現適度飲酒與動脈粥樣硬化負擔減少有關。但很多學者對這些結果都表示質疑,認為研究方法存在偏倚。
圖3 飲酒量與心血管疾病死亡率
權威研究怎麼說?
2018年LANCET雜誌發布了全球疾病負擔研究(Global Burden of Disease Study, GBD)的分析數據,聚焦195個國家/地區的飲酒所致疾病負擔。結論與之前不同,認為每周攝入酒精量為零標準杯(95%Cl 0-0.8)時,可最大限度地減少飲酒對健康的傷害。隨著每日飲酒量的增加,相對風險也隨之增加(圖4)。
圖4 飲酒量與整體健康的加權相對風險
2016年,全球當前飲酒者(current drinkers,定義為在過去12月內飲酒)占總人口的32.5%,約為24億人,其中女性中有25%的飲酒者,而在男性中這一比例高達39%。2016年,280萬人的死亡歸因於飲酒。全球範圍內,2016年在導致早死和失能的危險因素中,飲酒排在第7位。而在15~49歲這一年齡段中,飲酒是首要的危險因素,3.9%的女性和12.2%的男性死亡歸因於飲酒。≥50歲的人群,飲酒所致死亡中,癌症死因占較大比例。
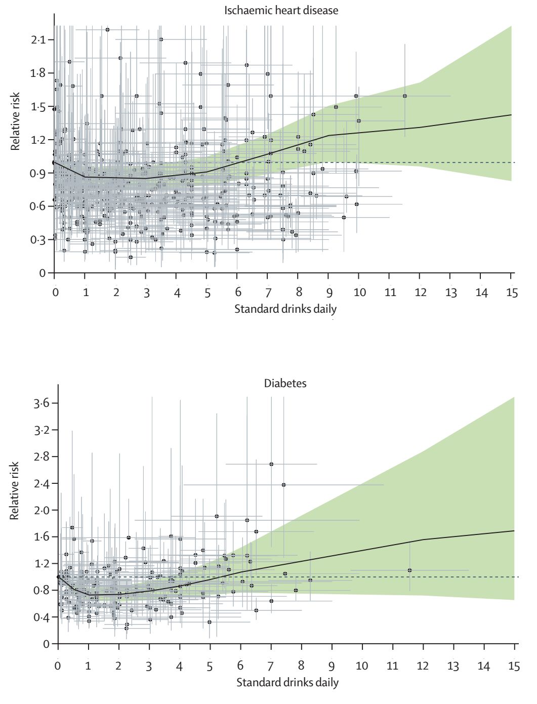
這項研究並沒有完全否認酒精對健康有益的一面。不過,只有酒精對缺血性心臟病的預防作用得到了證實,而對糖尿病及缺血性卒中的作用都缺少足夠的數據支持。研究雖然考慮到了飲酒對缺血性心臟病和糖尿病的保護作用(圖5),但是認為這種保護作用會被癌症風險所抵消。最終結果顯示,相比於完全不飲酒者,每日飲用1標準杯會導致疾病風險增加0.5%;而當每日飲酒量分別增加至2標準杯和5標準杯時,這一數字分別迅速上漲至7%和37%。因此,最終研究分析結果表明,最安全的飲酒量是「不飲酒」。
圖5 飲酒量與疾病相對風險
如何給飲酒者建議?
權威研究已經指出,酒精根本不存在所謂的「安全攝入量」,無論攝入量高低,飲酒對身體都是有害的。因此,對於飲酒者的建議就是,停止飲酒。美國CDC曾給出這樣的建議——如果你選擇飲酒,請適度!任何人都不應該以潛在的健康獲益為由開始飲酒或增加飲酒量。
圖6 CDC宣傳海報
參考文獻:
[1] Toma A, Paré G, Leong DP. Alcohol and Cardiovascular Disease: How Much is Too Much?[J]. Curr Atheroscler Rep, 2017, 19(3): 13.
[2] Obad A, Peeran A, Little JI, Haddad GE, Tarzami ST. Alcohol-Mediated Organ Damages: Heart and Brain[J]. Front Pharmacol, 2018, 13(9): 81.
[3] Goel S, Sharma A, Garg A. Effect of Alcohol Consumption on Cardiovascular Health[J]. Curr Cardiol Rep, 2018, 20(4): 19.
[4] O’Keefe EL, DiNicolantonio JJ, O’Keefe JH, Lavie CJ. Alcohol and CV Health: Jekyll and Hyde J-Curves. Prog Cardiovasc Dis[J], 2018, 61(1): 68-75.
[5] GBD 2016 Alcohol Collaborators. Alcohol use and burden for 195 countries and territories, 1990–2016: a systematic analysis for the Global Burden of Disease Study 2016[J]. Lancet, 2018, 392: 1015–1035.
